Кабмин Татарстана установил размер платы за детсад на 2020 год

Правительство Татарстана утвердило размер платы за детский сад в республике на 2020 год. Согласно постановлению, минимальный тариф составит 295 рублей в месяц.
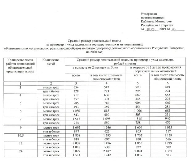
Разбивка по тарифам учитывает количество детей в семье и количество часов работы самого детсада, следует из документа. Также учитывается и возраст ребенка.
Самый низкий тариф предусмотрен в детсаду, работающем 3 часа для ребенка старше трех лет из многодетной семьи. Он составит 295 рублей. Для семьи в которой менее трех детей эта цифра вырастет до 590 рублей.
Самая высокая плата предполагается для ребенка младше трех лет, не из многодетной семьи в детсаду, работающем 24 часа — 3 027 рублей.
Полная таблица приводится ниже.
АналитикаОбществоОбразование Татарстан